超越Polymarket:探索预测市场设计中的机会
原文标题:《超越 Polymarket:探索预测市场设计中的机会》
原文来源:Aquarius
理解预测市场
预测市场本质上是一个开放的市场,参与者通过交易预测特定事件的结果。这些市场的运作类似于自由市场经济,市场价格根据参与者的集体智慧进行调整。预测市场允许用户交易某些事件发生的概率,最终的市场价格反映了这些事件的预期可能性。
根据定义,预测市场是“为了交易事件结果而创建的交易市场。市场价格可以反映大众对事件发生概率的看法。”虽然这个定义概括了基本概念,但预测市场的深度和复杂性远不止于此,值得进一步探讨。
开放性的关键作用
预测市场的开放性是其最重要的特征之一。与传统博彩不同,传统博彩中的赔率由庄家根据特定公式设定,而预测市场则以相同的赔率起步。随着参与者基于自身的知识和见解进行交易,市场会自然调整价格,以反映最可能的结果。
为了说明预测市场的运作方式,可以考虑一个假设的例子,即 2022 年 12 月的 FIFA 世界杯决赛,可能是阿根廷对阵英格兰。基于现有数据,中心化的庄家可能会将赔率设定为阿根廷获胜的概率为 67%,英格兰为 33%。
相比之下,预测市场无需中心化的庄家。参与者可以通过提出一个类似“谁会赢得 FIFA 世界杯决赛?”的问题来创建市场,并列出可能的结果,如“阿根廷”或“英格兰”。这种设置被称为二元预测市场。
在我们的例子中,会有两种结果代币可供交易:
ARGWIN(阿根廷获胜)
ENGWIN(英格兰获胜)
这些代币以相同的价格开始交易,例如 50/50。随着参与者根据预期购买代币,价格会根据供需关系波动。如果更多人购买“ARGWIN”,其价格将上涨,而“ENGWIN”则会下跌。随着时间的推移,市场将自我调整,代币价格将反映出最有可能的结果,可能与庄家设定的 67/33 赔率相符。
因此,预测市场在没有专门预测人员或数据分析师的情况下,也能够实现准确的预测。大多数参与者只有在对可能的结果有一定见解或信息时,才会参与预测。
预测市场作为衍生市场
预测市场也可以被视为衍生市场。由于市场本质上是信息处理器,因此它们可以在信息理论框架下设计,使预测市场特别适应这种模型。
预测市场,又称为博彩市场、信息市场、决策市场、创意期货或事件衍生品,允许参与者根据未来未知事件的结果交易合约。这些合约形成的市场价格可以被视为市场参与者的集体预测。如果这些合约与某些资产的价格挂钩,预测市场实际上就成为了衍生市场。
预测市场作为衍生市场的优势:
无需基础资产:这些市场不需要基础资产即可运作。只需一个引入基础资产信息的预言机和用于抵押的货币即可建立此类市场。
自动做市商(AMM):在预测市场中实现自动做市商相对简单。对预测市场的研究在 AMM 算法的发展中起到了关键作用。
多功能性:通过设计合适的预测事件,预测市场可以提供通用产品。
与欧式期权的同构性:预测市场与欧式期权具有同构关系,从而使期权的定价模型可以迁移到预测市场中。
资本效率:预测市场的资本效率极高,往往比传统博彩市场更为高效。
无逼空风险:在预测市场中,参与者的责任由其抵押资产所限,消除了逼空的风险。
预测市场作为衍生市场的劣势:
流动性提供者的风险:流动性提供者持有头寸,尤其在黑天鹅事件期间,面临高风险。然而,对于风险中性的投资者来说,这可能是可以接受的。
新颖性和学习曲线:预测市场是一个相对较新的概念,参与者可能需要时间来完全理解其机制。然而,新颖性在区块链领域是常见的特征。
未知风险:与任何新设计一样,可能存在尚未发现的缺点。
机制:CDA 与 LMSR
预测市场是专门的金融市场,参与者根据未来事件的结果(如政治选举、体育比赛结果或经济指标)交易合约。这些合约的价格反映了市场参与者对这些事件发生可能性的集体信念。支撑预测市场运作的两种主要机制是连续双向拍卖(CDA)和对数市场评分规则(LMSR)。每种机制都有其独特的优势,同时在流动性和价格准确性方面也面临特定挑战。本文探讨了这些机制的复杂性、它们在预测市场中的应用及其与自动做市商(AMM)的关系。
连续双向拍卖(CDA)
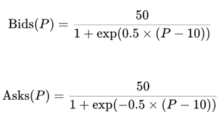
连续双向拍卖(CDA)是金融市场中最常用的机制之一,包括预测市场。在 CDA 中,交易者通过向订单簿中直接下达买入(出价)和卖出(要价)订单进行互动。订单簿是 CDA 机制的核心部分,列出了所有未成交的订单,出价在一侧,要价在另一侧。当一个出价与一个要价匹配时,交易发生,并以匹配的价格执行交易。CDA 机制的动态可以通过使用 S 形函数来描述出价和要价。S 形函数的定义为:

在这里,PPP 代表价格水平。出价函数随着价格的上升逐渐下降,而要价函数则上升,形成了两条曲线相交的自然均衡点。这个相交点代表了交易发生的价格。S 形函数用于模拟当价格偏离中心值时订单数量的逐步变化。
CDA(连续双向拍卖)的一个关键特征是其依赖交易者之间的直接互动来促进价格发现。交易者可以在任何时间下单,这些订单会保留在订单簿中,直到有相反方向的订单与之匹配。CDA 的灵活性允许交易者设定他们期望的价格,这在高流动性的市场中能够实现有效的价格发现。然而,在参与者较少的市场中,这种依赖直接互动的机制可能会成为一个限制。在流动性不足的市场中,由于没有足够的交易者迅速匹配订单,CDA 可能会遭遇流动性低的问题,导致买卖价差扩大。这会降低市场效率,并使得准确的价格预测更加困难。
在预测市场的背景下,由于其简单性和促进直接交易的能力,CDA 机制得到了广泛应用。然而,预测市场中因参与者数量有限而导致的低流动性问题,促使人们开始探索 LMSR 等替代机制。
对数市场评分规则(LMSR)
对数市场评分规则(LMSR)是一种专门设计的自动做市商(AMM)机制,旨在解决预测市场中常见的流动性问题。与 CDA(连续双向拍卖)不同,CDA 中交易是由参与者之间直接进行的,而 LMSR 则涉及一个中央自动做市商,该做市商作为所有交易的对手方。这个做市商会持续提供买入和卖出报价,并使用对数评分规则来计算这些报价,根据未结合约的总量调整价格。
LMSR 机制可以通过对数函数来建模价格调整,并通过逻辑函数来建模流动性。价格调整的对数函数表示为:

其中,TTT 代表交易次数。这个函数反映了随着交易次数的增加,价格以递减的速度上升,从而防止价格变得过于极端。流动性可以通过逻辑函数进行建模:

这个函数展示了流动性如何随着交易次数的变化而变化,流动性在一定交易量时达到峰值,然后逐渐减少。
LMSR 的一个显着优势是其能够提供恒定的流动性,确保交易者可以随时执行交易,而无需等待其他参与者的匹配订单。LMSR 通过随着更多合约的买入或卖出自动调整价格来实现这一点。价格调整是对数型的,这意味着随着倾向于某一结果的合约数量增加,该结果的价格上升速度逐渐减缓。这一机制防止了价格变得过于极端,即使在大量单边交易的情况下,也能稳定市场。
LMSR 特别适合用于预测市场,因为它缓解了低流动性带来的风险。在参与者数量较少的市场中,LMSR 确保交易能够顺利进行,价格反映市场的集体情绪,即使活跃的交易者较少。然而,这也意味着市场做市商可能面临潜在的损失,因为它可能需要补贴交易以维持流动性。尽管如此,LMSR 的设计确保这些损失是有上限的,使其成为市场所有者可持续的机制。
Consensus Point 的首席技术官 Ken Kittlitz 强调了在预测市场中使用 LMSR 的实际好处。他指出,自动做市商的存在「对市场的成功有巨大影响」,因为它提供了稳定的流动性,并简化了参与者的交易过程。通过确保在各种价格范围内始终有买卖订单,LMSR 使市场更加易于访问和直观,从而可能导致更高的参与度,并因此提供更准确的预测。
比较 CDA 与 LMSR 在预测市场中的应用
尽管 CDA(连续双向拍卖)和 LMSR(对数市场评分规则)机制都用于预测市场,但它们服务于不同的目的,并且最适合不同的市场条件。CDA 在高流动性市场中表现出色,在这种市场中,参与者足够多,能够确保买入和卖出订单得到定期匹配。在这样的环境中,CDA 可以促进有效的价格发现,使市场能够反映参与者的真实集体信念。然而,在流动性较低的市场中,CDA 对直接交易者互动的依赖可能导致效率低下,例如买卖价差扩大和价格预测不准确。
另一方面,LMSR 在流动性成为问题的环境中表现优异。其自动做市功能确保交易可以随时进行,无论参与者数量多少。这种持续提供流动性使 LMSR 在预测市场中尤其有价值,尤其是在参与可能间歇性或有限的情况下。LMSR 根据交易量动态调整价格的能力也有助于稳定市场,防止极端价格波动,这对于确保市场预测的可靠性至关重要。
自动做市商(AMM)
自动做市商(AMM),如 LMSR,在维持流动性方面发挥着关键作用,尤其是在可能因交易量低而遭受流动性问题的市场中。在预测市场中,参与者数量可能有显着波动,AMM 的存在确保市场保持功能正常,价格持续反映交易者的集体情绪。
AMM 通过使用算法来设定价格和自动提供交易。在 LMSR 的情况下,这一算法基于对数函数,根据交易量的变化调整价格。这种持续的调整帮助防止市场对特定结果过度偏倚,确保价格保持在合理范围内。通过提供这种稳定作用,像 LMSR 这样的 AMM 使预测市场即使在参与者数量较少的情况下也能有效运作。
预测市场的分类
预测市场可以有多种形式,每种形式适用于不同的场景:
1. 二元市场:涉及两个可能的结果,例如“是”或“否”。例如,FIFA 世界杯的例子就是一个典型的二元市场。
2. 分类市场:类似于二元市场,但选项超过两个。例如,预测一个锦标赛的获胜者,其中还有多个队伍在争夺。
3. 标量(区间)市场:预测结果在特定范围内,例如预测某资产的未来价格。参与者根据其预测结果与实际结果的接近程度获得奖励。
4. 组合市场:最复杂的形式,用户通过结合多个预测市场来创建多层次结果的预测。
分类市场和标量市场
在分类市场中,假设我们要预测四分之一决赛后 FIFA 世界杯的获胜者,剩下八支球队,每个结果代币可能以 0.125 ZTG 的价格开始。如果你在市场结束前早期准确预测了获胜者,你可以获得显着的利润。
在标量市场中,假设预测 2022 年第三季度末 Polkadot 代币(DOT)的价格。参与者可以预测在设定范围内的任何价格(例如,$0 到 $20),其奖励将取决于其预测结果与实际价格的接近程度。
组合市场
组合预测市场通过结合多个预测市场来进行更复杂的预测。例如,预测新款 iPhone 发布的成功可能涉及多个变量,如颜色选项、包含的配件和定价。通过结合这些因素,参与者可以生成对产品成功的更准确预测。
组合市场在如天气保险等场景中特别有用,其中多个变量影响结果。有关组合预测市场复杂性的专门文章将进一步探讨这一话题。
预测市场与传统民意调查的比较
预测市场相较于传统民意调查方法具有独特的优势。预测市场通过金融激励来鼓励准确预测,而不是依赖于劳动密集型的调查。市场的自然动态确保了价格过高的股份会被参与者通过购买被低估的股份来修正,从而提供更可靠的数据。
结论
预测市场是一种强大的工具,可用于预测各种结果,从体育赛事和资产价格到政治决策和天气事件。拥有宝贵洞察力的参与者被激励参与并纠正市场失衡,而信息较少的参与者则自然会被劝阻于承担重大风险。
任何预测市场平台的目标应是创建一个用户友好的环境,吸引流动性并提供快速响应,确保预测市场的创建和参与都变得简便。去中心化和无权限参与进一步提升了平台的潜力,使用户能够发现有关我们周围世界的宝贵数据。连续双向拍卖(CDA)和对数市场评分规则(LMSR)是两种不同的机制,各自满足预测市场中的不同需求。CDA 促进了交易者之间的直接互动,并在高流动性市场中表现出色,而 LMSR 作为一种自动做市商,确保了持续的流动性和价格稳定,非常适合参与较少的市场。理解每种机制的优势和局限性对于设计有效的预测市场至关重要,这些市场能够准确地汇聚信息并生成可靠的预测。随着预测市场领域的不断发展,像 LMSR 这样的自动做市商在确保市场预测的稳健性和准确性方面可能会变得越来越重要。
本文来自投稿,不代表 观点。
:
- 免责声明
- 世链财经作为开放的信息发布平台,所有资讯仅代表作者个人观点,与世链财经无关。如文章、图片、音频或视频出现侵权、违规及其他不当言论,请提供相关材料,发送到:2785592653@qq.com。
- 风险提示:本站所提供的资讯不代表任何投资暗示。投资有风险,入市须谨慎。
- 世链粉丝群:提供最新热点新闻,空投糖果、红包等福利,微信:juu3644。

CryptoCrusader



