一文详解影响DeFi流动性提供者盈利能力、权衡和风险回报的关键因素
DeFi协议依赖于流动性,因此为任何愿意为其平台增加流动性的人建立了经济激励措施。在我们的低利率宏观经济环境中,闲置现金几乎为零,DeFi收益率变得非常诱人。然而,有抱负的流动性提供者可能会发现,理解和预测其策略的盈利能力复杂且令人困惑。
在本文中,我们分解了影响盈利能力的因素,探讨了权衡取舍,并了解了不同流动性供应策略可用的各种风险回报状况。
上述的不等式代表了流动性提供者的基本抵押:他们押注收益(左)将超过损失(右)。本文将围绕上述不等式以及影响其中每个变量的各种子因素展开。
请注意,变量和子因素可能因所使用的特定流动资金池而异。即使在每种流动性池类型中,协议也可能有会有不同的变化,从而引入新的因素。流动资金池的例子包括:
去中心化交易所(DEX)中的流动性池:Pancakeswap、Uniswap、Curve等。
双边借贷协议中的借贷池:Aave、Compound、Cream Finance 等。
其他流动性池类型(宽松定义):Liquity的稳定池(Lending)、Unslashed Finance的Capital Buckets(保险)
LP代币价值
向资金池中添加流动性时,您正在锁定协议的智能合约中的代币。作为交换,协议通常为您提供流动性提供者(LP)代币,这些代币代表该池的部分所有权。当您希望解锁流动性时,这些LP代币可以在以后兑换回来。
LP 代币的价值取决于3个主要变量:池中代币的价格收益、无常损失以及池中赚取和分配给LP代币持有者的费用。下图总结了接下来几节的内容,并突出了影响每个变量的子因素。

代币价格收益
由于LP代币持有者是流动性池的所有者,他们基本上持有池中持有的代币的多头头寸。池中代币类型的数量是不同的。通常,借贷池有一种代币类型,而大多数DEX在特定比率下每个流动性池有两种代币类型。当相关代币的价格上涨时,LP代币的价值也会上涨。
无常损失
在单一代币池中,代币价值的x%收益/损失将导致LP代币价值的x%收益/损失。与此同时,多个代币池经历了一种称为临时损失的效应,它放大了百分比损失,同时抑制了代币价格的百分比收益。换句话说,任何潜在代币价值的x%收益/损失将导致LP代币价值的≤x%收益或≥x%损失。
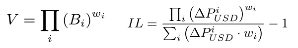
“无常损失(IL)描述了一个资金池外持有代币,那么这个池子的价值就会低于他所拥有的价值的百分比。”
——Fernando Martinelli (Balancer联合创始人)

上面的等式表明,IL是流动性池的代币对汇率变化的函数:价格比率变化越大,IL 越大。因此,具有高度相关代币的资金池经历较少的IL,而具有非对称代币价格变动的资金池经历较大的IL。由于IL仅在退出流动性池时实现,重要的是出入金之间的价格比率差异。可以忽略出入金之间的波动。
在了解IL后,可能很容易对流动性提供产生反感。因此,重要的是要考虑其规模:在标准XYK池(例如Uniswap V2、Sushiswap、Pancakeswap)中,价格比率翻倍只会导致5.72%的IL。为了更好地理解IL,您可以使用此计算器来探索数字。请注意,对于不基于XYK模型(例如Balancer)、不具有50/50组成或应用中心化流动性(例如Uniswap v3)的池,所示的非无常损失的方程式和计算是不同的。
Balancer的值函数(左)和非无常损失方程(右)为了说明非无常损失计算在其他资金池类型中有何不同,我们来看一下Balancer。Balancer池是多代币的,不一定是50/50,它们的资金池由上面显示的价值函数控制。尽管如此,IL与代币价格的不对称变化之间的一般关系仍然成立。
费用收入/收入分成
流动性池使dApp能够为用户提供服务并向其收费,从而产生收入。然后,该收入的一部分分配给流动性提供者。由于协议通常还会将收入分配给其他利益相关者,因此了解收入分成结构以及作为LP的收入分配给您是很重要的。收入通常分享给:
其治理代币的持有者(通常通过销毁代币供应,概念上相当于传统金融中的股票回购)
协议储备(储备可能有预先确定的特定用途或可能由治理代币持有者监督)
协议开发团队
LP的预期费用收入可以看作是流动性池中供求关系的函数。更高的需求会增加收入的产生,而更大的供应(资金池的规模)意味着收入必须在更多的人之间分享。

上表总结了可用于确定当前供需的常用指标。然而,更有趣的是对未来需求和供应的预期。
对冲IL
可以选择性地调整对冲策略来降低IL。从本文前面的IL图中,可以清楚地看出IL是双向、非线性的。因此,像perpetual和期货这样的线性工具不起作用。
为了模仿IL的非线性特性,您可以使用此选项。期权是非线性的,因为损失以购买期权的价格(期权费)为上限,而收益没有上限。同时,可以通过购买一篮子具有不同执行价格的看涨期权和看跌期权来模仿和粗略地对冲IL的双向性质及其形状。然而,期权缺乏流动性可能会阻碍这一策略。您可以在本文中了解更多信息。
还有其他新兴的IL对冲方法,例如创建用于IL对冲的双边保险市场。无论您采用何种对冲方法,仅当您预期的对冲节省超过所使用的对冲工具成本时进行对冲。
LP代币农耕
由于协议需要流动性才能发挥作用,许多协议通过为LP代币持有者创造农耕机会来激励提供流动性。然而,并非所有LP代币都有收益耕作机会。
在实践中,这通常涉及将LP代币锁定在保险库中或将它们抵押并以可变的APR超时接收其他代币。LP代币和产生的收益可以在以后撤回。一些dApp不会将此作为单独的步骤。例如,流动性稳定池提供者自动获得LQTY奖励。
农耕机会通常可以在以下位置找到:
为您提供LP代币的同一个dApp(例如,像Pancake Swap这样的DEX具有农耕功能,您可以锁定LP代币以获得收益)
采用一系列不同策略来提高产量的农耕dApp(例如,Yearn Finance、Beefy Finance、Autofarm)
dApp试图在主流DEX上扩大其原生代币的流动性池(例如,当您从Curve DEX质押alUSD3CRV LP代币时,Alchemix会提供奖励)
LP代币农耕的收益取决于许多因素:
1、提供APR/APY
LP 代币抵押池和保险库通常引用APY(年收益率)和/或 APR(年收益率)数字。虽然两者都以年度为基础获得了明确的收益率,但APR没有考虑复合收益率的影响,而APY有。因此,APR
在考虑APY时,还应该了解计算它时所做的假设。APY取决于复利频率,频率越高,APY越高。为了产生有吸引力的广告APY数据,一些保险库在计算中假设高复利频率,而实际上并未以该频率复利收益率(一种糟糕的市场做法)。
因此,奖励在于用户以给定的频率手动复利以实现广告的APY。手动复利既麻烦又昂贵,因为在提取收益并将其添加到金库时会产生交易费用。
2.农耕奖励类型
LP代币农耕产生的收益通常有其他类型,有时是多种代币类型。因此,您的收益价值可能会随着时间而改变。此外,这可能导致APR/APY随奖励代币类型的价值而波动。因此,了解您将获得哪些奖励代币以及是否有多种代币类型以了解收益如何在它们之间分配非常重要。
常见的奖励代币类型包括:
原生dApp代币(例如 Pancakeswap农场中的$CAKE,Autofarm 保险库中的$AUTO)
L2代币(例如,侧链Polygon向Polygon上托管的Aave中的LP提供$MATIC)
基础LP代币(像Beefy Finance这样的农场可能会定期自动将奖励代币转换为LP代币,作为其农业策略的一部分)
简而言之,最好找到提供您看好的奖励代币的农耕机会。如果您不看好奖励代币,您可以定期将它们转换为其他代币。为了使这在经济上合理,您的交易规模应该足够大,以便交易成本不会过度消耗收益,并且您可能希望在转换之间不会损失显着价值的波动性较小的奖励代币。
3. 流动性池规模和奖励供给
分配的奖励代币的供应量通常是固定的,并遵循奖励分配时间表。为了吸引早期流动性并激励早期采用者,奖励通常最初很高,随着时间的推移而减少。此外,随着资金池规模的扩大,奖励会分配给更多的持有者。随着时间的推移,这可能导致APR/APY和产量下降。
代币对配置文件(权衡)
虽然我们都希望获得农耕产量高、费用高、风险低和非无常损失低的机会,但它们很少存在。即使有,也只存在很短的一段时间。以下进行了一些广泛的概括,但我希望它说明了流动性提供者必须考虑的一些可能的权衡:
从表中,您可以理解为什么小盘代币-小盘代币对很少存在:自然,首先用户对这种池的需求很少,对流动性提供者的激励也很少。这意味着资金池较小,滑点较高,进一步阻止了任何潜在用户。
在考虑收益农耕时,考虑谁提供它们以及为什么提供它们是有用的。代币创建者和dApp希望他们的原生代币具有流动性,从而激励他们的代币与主要大盘代币或稳定币之间的主流DEX中的流动性对。DEX相互竞争流动性并希望提供低滑点。因此,它们鼓励为通常具有最高自然需求的资金池提供流动性:那些介于大市值代币和稳定币之间的资金池。
总结
处理许多因素和权衡对于流动性提供者来说可能是压倒性的。尽管如此,将其绘制出来会使思维过程变得清晰和结构化。虽然仍然需要大量的定性判断,但定量的历史数据可以作为决策的指导方针。使用链上和公共数据,您可以轻松查看与所讨论因素相关的指标
- 免责声明
- 世链财经作为开放的信息发布平台,所有资讯仅代表作者个人观点,与世链财经无关。如文章、图片、音频或视频出现侵权、违规及其他不当言论,请提供相关材料,发送到:2785592653@qq.com。
- 风险提示:本站所提供的资讯不代表任何投资暗示。投资有风险,入市须谨慎。
- 世链粉丝群:提供最新热点新闻,空投糖果、红包等福利,微信:juu3644。

南丰



